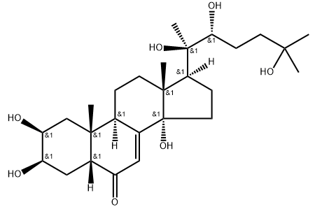
蜕皮激素
品 名:蜕皮激素(β-蜕皮激素, β-蜕皮甾酮)
规 格:90%UV, 50% 90% 95% HPLC
外 观:棕黄色粉末
植物来源:露水草
提取部位:全草
CAS #: 5289-74-7
分子式: C27H44O7
产品描述
蜕皮激素来源于新鲜的露水草,多种植物含有蜕皮激素,其中露水草中含量最高。蜕皮激素被发现具有促进蚕,虾蟹脱壳,促进皮肤细嫩保湿等功效,从而成为饲料和化妆品行业的新宠。
目前由于原料供应紧俏并具有一定季节性,货源紧俏,价格随季节浮动,需要的客户可以随时关注市场动态,或随时与我司联系。
规格和应用行业:
|
90% UV |
50% HPLC |
90% HPLC |
95% HPLC |
|
棕黄色多用于饲料 |
棕黄色,用于饲料和保健品 |
灰白色,保健品和化妆品 |
灰白色,保健品和科研,化妆品 |
包装和储存:
1-5公斤铝箔袋,5-25公斤纸箱/纸板桶。
储存在封闭容器中,阴凉通风,干燥避光。在推荐的条件下有效期2年。
产品标签: Beta-ecdysone factory, Hydroxyecdysone price
询盘



